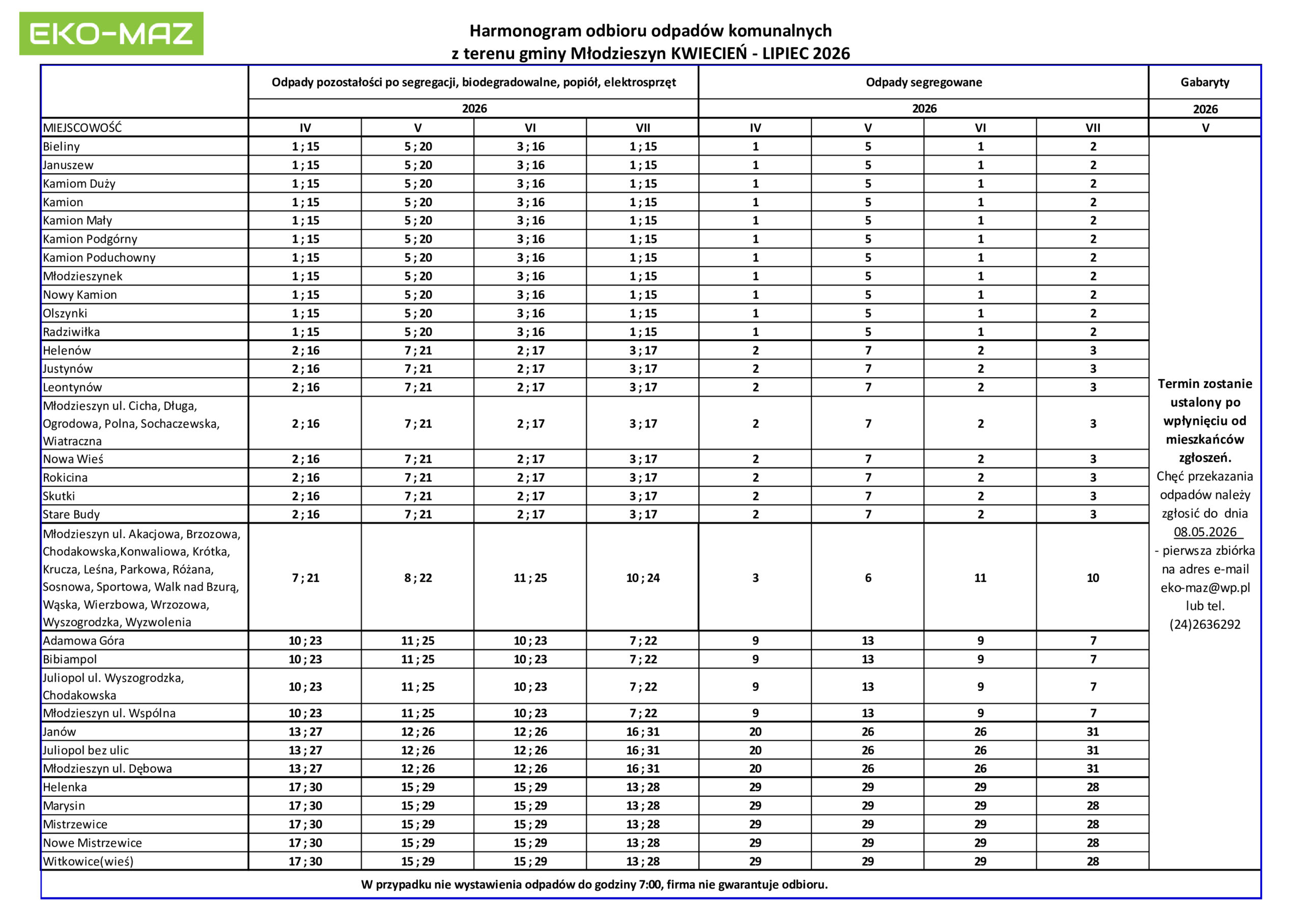
Szanowni Państwo, poniżej publikujemy harmonogram odbioru odpadów komunalnych od kwietnia do lipca 2026 roku.
HARMONOGRAM ODPADÓW KWIECIEŃ LIPIEC 2026

Szanowni Państwo, poniżej publikujemy harmonogram odbioru odpadów komunalnych od kwietnia do lipca 2026 roku.
HARMONOGRAM ODPADÓW KWIECIEŃ LIPIEC 2026
